关于2023年2025新澳门免费原料大全
公开招聘教师资格初审合格人员名单的公示
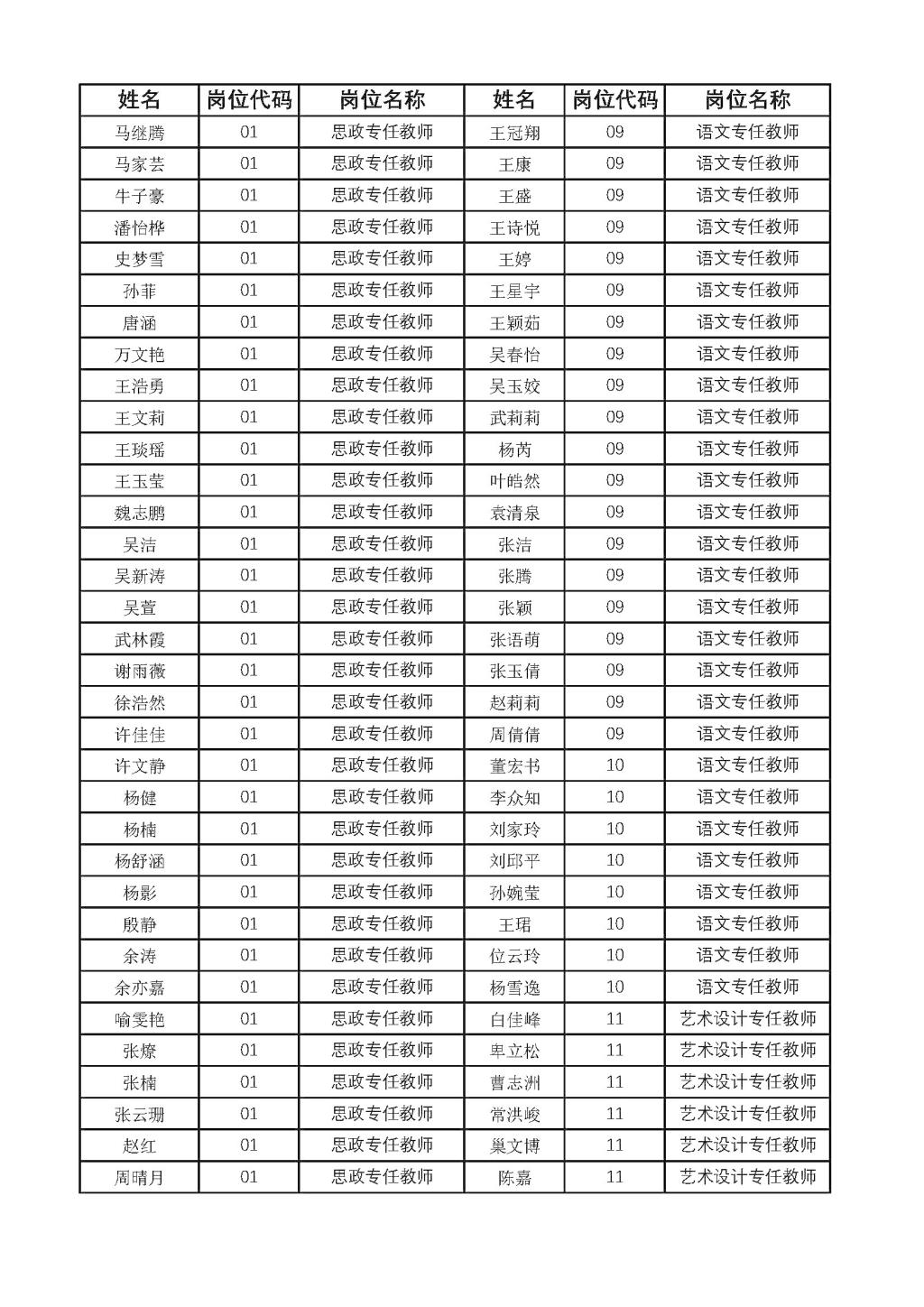
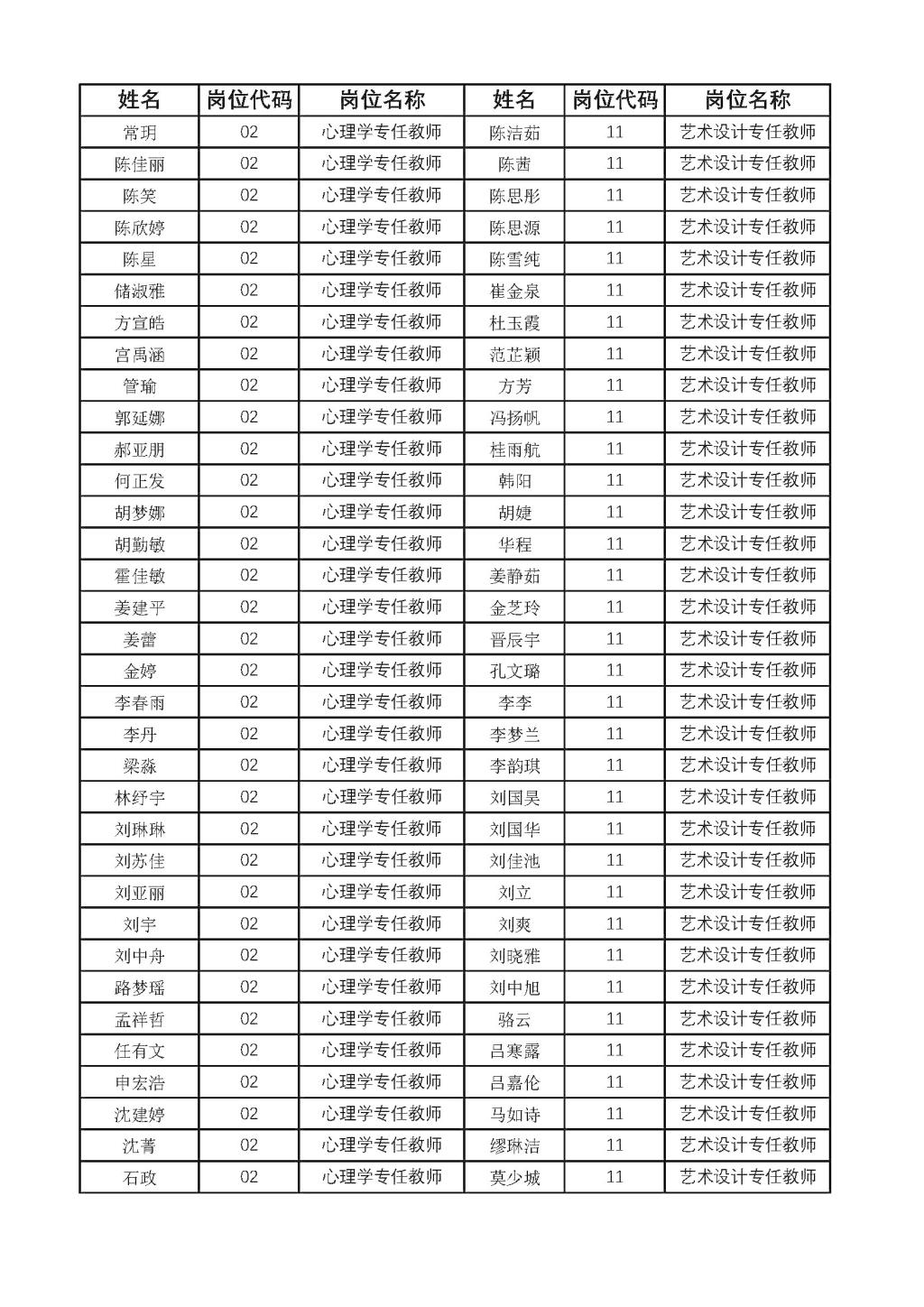
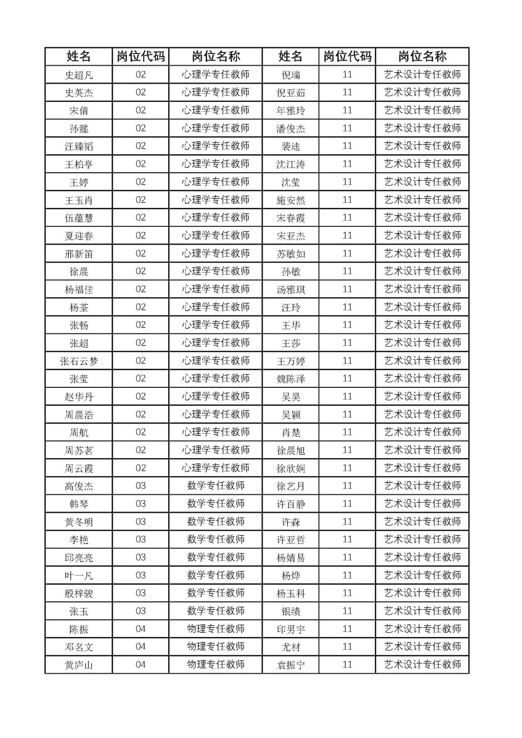
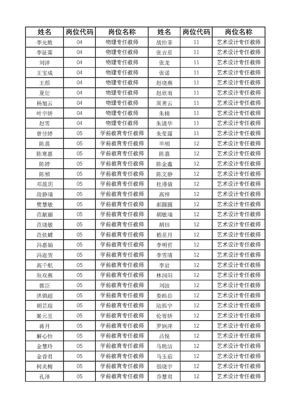
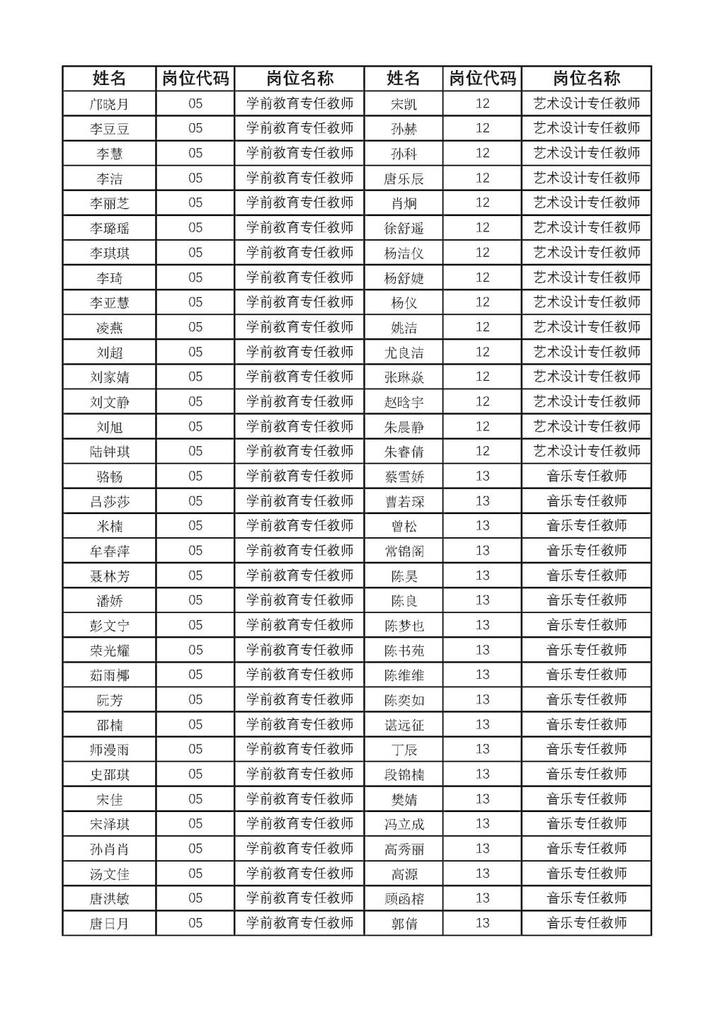
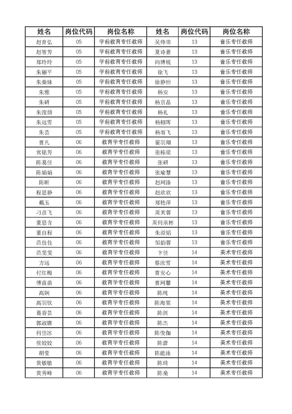
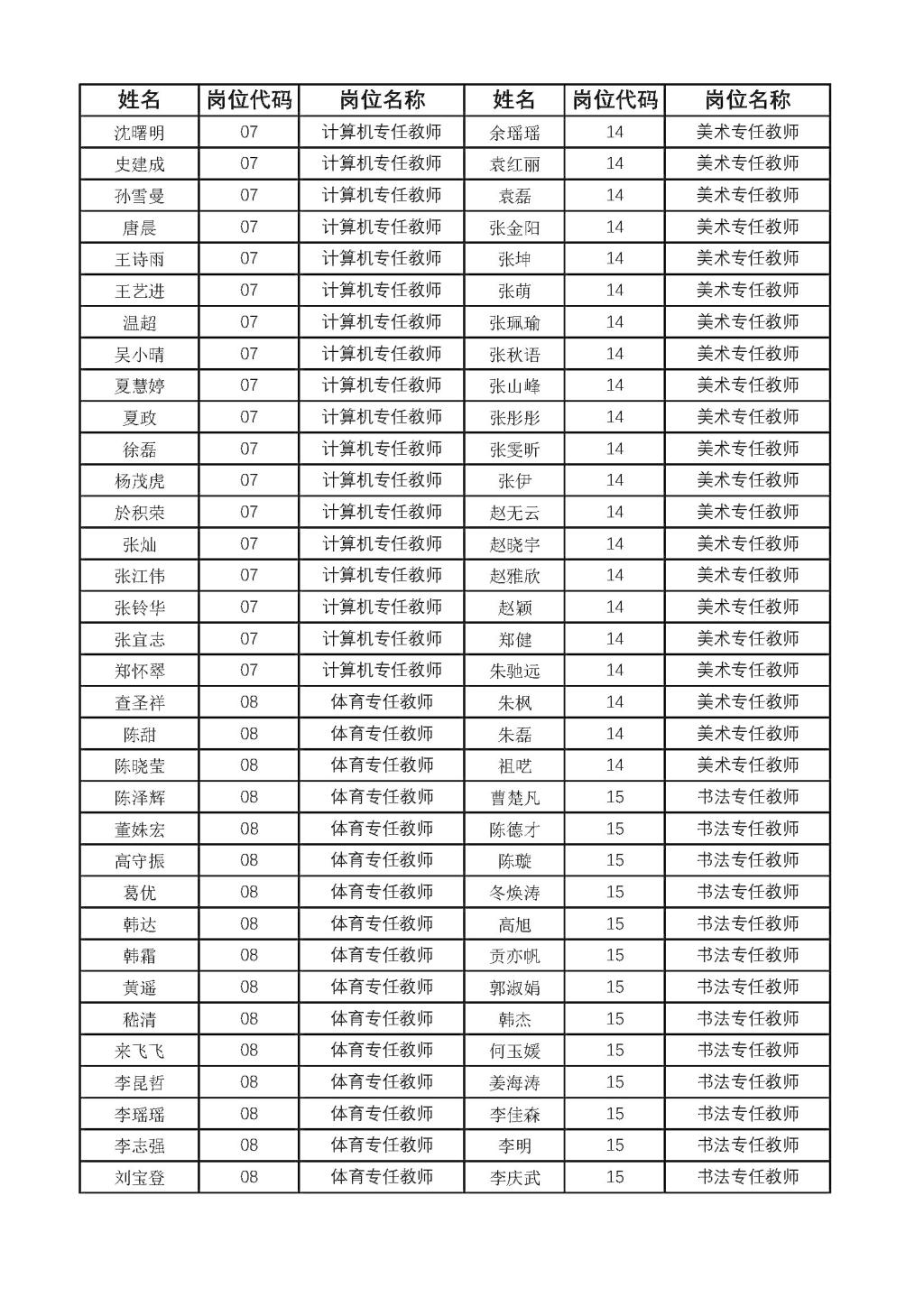
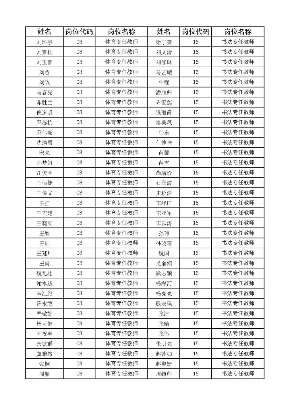
2025新澳门免费原料大全2023年公开招聘教师资格初审工作已结束,现将资格初审合格人员名单予以公示(名单见附件)。学校将同时以手机短信的方式通知初审合格人员,请应聘者手机保持畅通,关注查收“86(519)”开头的信息,避免信息屏蔽。
已通过资格初审的考生,如确认参加考试,需于6月16日12:00前扫描下方二维码,按要求填写并提交表单,以免影响考试。

常州市教育局、2025新澳门免费原料大全纪检监察部门对此次招聘工作进行纪律监督。
监督电话:0519-85681337,0519-86509262 招聘工作举报信箱:[email protected]













